Quatre marqueurs génétiques pour relier nutrition et défensivité chez l’abeille
#97 | Vivants | Resto & Véto | Des indicateurs moléculaires pour comprendre l’impact d’une disette pollinique sur le tempérament des colonies.
La disponibilité en pollen n’est pas qu’une question de croissance du couvain ou de constitution des réserves. Une étude publiée le 16 janvier 2026 dans PLOS One montre qu’une disette protéique réaliste, induite en conditions de terrain, peut modifier le comportement défensif des colonies d’Apis mellifera et s’accompagner de changements physiologiques mesurables chez les ouvrières.
Autrement dit, une colonie « courte en pollen » ne devient pas seulement plus faible ou plus lente à se développer : elle peut aussi devenir plus difficile à conduire au rucher, avec des conséquences directes pour la sécurité, le travail quotidien et les décisions de conduite.
Une disette simulée, proche d’un scénario apicole courant
L’équipe de Walsh et al. a travaillé en Louisiane, près de St. Gabriel, à la fin de l’été 2022, sur seize colonies Pol-line, une lignée sélectionnée notamment pour sa résistance à Varroa et une relative homogénéité génétique. Les colonies ont été standardisées avant le début de l’essai afin de réduire les biais liés à la force, au couvain ou aux réserves. La moitié des colonies a servi de témoin, avec trappes à pollen maintenues « off », et l’autre moitié a subi une privation de pollen en activant les trappes (« on »), ce qui revient à détourner une grande part des pelotes entrantes à la planche d’envol.
Ce point est important : on ne parle pas d’une carence artificielle en cage, ni d’un régime expérimental formulé en laboratoire. On parle d’un mécanisme de privation qui imite une situation vécue sur le terrain, lorsque les apports polliniques deviennent insuffisants, que ce soit par sécheresse, rupture de floraison, pratiques agricoles défavorables ou pression concurrentielle. Les auteurs ont suivi les colonies pendant cinq semaines, avec des mesures répétées de comportement et de physiologie. Chaque semaine, les chercheurs réalisent un test de défensivité, des prélèvements d’abeilles du nid à couvain et de butineuses, ainsi que le suivi de cohortes d’abeilles marquées à l’émergence.
Une montée de la défensivité qui apparaît avec le temps
La défensivité n’a pas été évaluée « à l’impression ». Elle a été mesurée par un test standardisé, déjà utilisé dans la littérature : l’observateur attribue une note de 1 à 4 sur quatre comportements précis, à savoir la propension à piquer, à voler autour de l’observateur, à courir sur les cadres, et à « pendre » en grappes sous les rayons. Ces quatre dimensions sont ensuite combinées en un score global de défensivité. Ici, les auteurs ont choisi une approche statistique qui conserve des nuances entre colonies ayant le même total mais pas la même répartition de comportements.
Les colonies privées de pollen deviennent significativement plus défensives en fin d’essai. Un signal commence à se dessiner à la semaine 4, puis la différence devient nette à la semaine 5. Ce décalage temporel correspond à la réalité apicole : une colonie ne bascule pas en 48 heures. La dynamique du couvain, la redistribution des nourrices, l’état des réserves et les signaux internes prennent du temps avant de se traduire en comportement collectif visible au rucher.
Une disette qui se voit aussi dans l’état de la colonie
À la fin de l’expérience, les colonies privées de pollen présentent moins de cadres de pollen, moins de couvain, et une population adulte plus faible que les témoins. En revanche, les cadres de miel ne diffèrent pas significativement entre groupes. Les auteurs y voient la preuve que la trappe a bien induit une disette protéique réelle, sans provoquer un effondrement énergétique immédiat.
Ce détail est instructif : la colonie peut maintenir une partie de ses réserves glucidiques tout en se dégradant sur le plan protéique, avec un effet en cascade sur l’élevage. En conduite, cela correspond à des situations où « ça rentre un peu » en nectar ou sirop, mais où le pollen manque, et où l’on observe une baisse de dynamique, des nourrices sous tension, et des colonies plus sèches dans leur comportement.
Hypopharyngiennes, lipides, glycogène : des ouvrières physiologiquement impactées
L’étude ne s’arrête pas au constat comportemental. Les auteurs ont mesuré plusieurs marqueurs physiologiques classiquement associés à l’état nutritionnel.
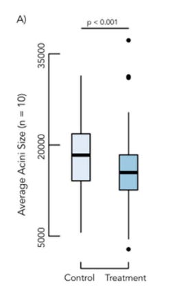
Les glandes hypopharyngiennes (HPG), en particulier, constituent un indicateur robuste de la capacité nourricière. Chez les abeilles du nid à couvain, la taille des acini1 est plus faible dans le groupe privé de pollen, avec aussi un effet du temps. La figure de la page 10 illustre cette baisse, compatible avec une diminution de la production de gelée et une dégradation de la qualité du nourrissement larvaire lorsque l’entrée protéique se raréfie.

Les mesures biochimiques montrent une situation plus nuancée. Chez les abeilles qui restent dans la ruche, le glycogène (une réserve d’énergie) varie surtout au fil des semaines, avec un pic temporaire à la semaine 2. Les lipides (les graisses) évoluent différemment selon le traitement et le moment : ils sont plus élevés chez les colonies témoins aux semaines 3 et 4. Chez les abeilles marquées dès leur naissance, les résultats dépendent du contexte dans lequel elles ont grandi. Les abeilles qui ont manqué de pollen pendant leur développement (groupe 2) ont moins de glycogène, mais curieusement plus de lipides. Ce rééquilibrage énergétique — et surtout le fait qu’il dépende du moment où l’abeille a subi le stress — montre que le corps de l’abeille peut s’adapter de façon complexe. C’est bien plus subtil que l’idée simple d’une « abeille affaiblie par manque de pollen ».
Le point clé : l’effet « priming » lié au contexte d’élevage
Un point fort de cette étude : les chercheurs ont suivi deux groupes d’abeilles d’âge connu. Le groupe 1 regroupe des abeilles qui ont grandi normalement, puis ont manqué de pollen une fois adultes. Le groupe 2 regroupe des abeilles qui ont manqué de pollen dès leur développement larvaire, puis à l’âge adulte également.
Les auteurs proposent une explication : quand une abeille manque de pollen pendant sa croissance, cela la « prépare » à cet environnement difficile pour plus tard. Ce « conditionnement précoce » (appelé « priming ») influencerait son fonctionnement physiologique et peut-être son comportement une fois adulte. Les données montrent effectivement que certaines différences biologiques et énergétiques dépendent du moment où l’abeille a subi le manque de pollen, et pas seulement de l’état actuel de la colonie.
Pour l’apiculteur, cela renforce une idée souvent observée sans être formalisée : une rupture pollinique qui dure peut « marquer » une génération d’abeilles, et la colonie ne revient pas immédiatement à un état normal dès que les entrées reprennent.
Des gènes liés à la défense : des marqueurs utiles, mais non universels
Les auteurs ont aussi mesuré l’activité de quatre gènes connus pour leur lien avec l’agressivité des abeilles : Cyp6g1/2, drat, inos et GB538602. Les résultats sont complexes : ce n’est pas aussi simple que « moins de pollen = tous les gènes de l’agressivité en hausse ».
Chez les abeilles marquées, seul le gène Cyp6g1/2 change vraiment, et uniquement dans certaines conditions. Chez les butineuses, c’est le gène GB53860 qui est le plus intéressant : son activité augmente au fil du temps, et surtout, elle suit de près le niveau d’agressivité de la colonie. C’est donc le marqueur le plus fiable dans cette étude.
Le gène inos réagit différemment selon le groupe et le moment : il augmente avec le temps chez les colonies témoins, mais reste stable chez les colonies privées de pollen.
Le message est clair : les signatures moléculaires de l’agressivité dépendent du type de stress (chronique vs aigu), du stade de vie, et du rôle de l’abeille dans la colonie. Pour l’instant, ces marqueurs restent surtout des outils de recherche, mais ils confirment que la disette pollinique ne se limite pas à une baisse de performance : elle reconfigure l’état interne de la colonie.
Ce que cette étude change dans la lecture du terrain
Le résultat le plus opérationnel est le lien démontré entre manque de pollen et hausse de défensivité. La littérature apicole met souvent l’accent sur la génétique comme facteur dominant du tempérament. Ici, sur une population relativement homogène génétiquement, un stress environnemental suffit à faire diverger nettement les comportements de défense en quelques semaines.
Pour un professionnel, cela recadre plusieurs situations typiques. Une colonie qui « devient mauvaise » en fin d’été n’est pas forcément une reine à remplacer dans l’urgence pour cause de lignée agressive. Le contexte alimentaire, en particulier protéique, peut être un facteur déclencheur. L’étude montre aussi que cette montée de défense apparaît avec un délai, ce qui colle avec des épisodes de disette progressifs : les signes s’accumulent, puis la colonie franchit un seuil où la conduite devient plus délicate.
Cette lecture est aussi utile pour la prévention du risque au rucher. Si la disette pollinique rend les colonies plus réactives, alors la fenêtre de travail, le choix des manipulations et la gestion de la dérive ou du pillage doivent intégrer l’état protéique, pas seulement la météo ou la miellée.
Une implication directe : intégrer le pollen dans la gestion du « risque comportemental »
Les auteurs insistent sur un point rarement posé aussi frontalement : des colonies très proches génétiquement peuvent présenter des comportements très différents si l’environnement change, et la ressource pollinique fait partie des variables capables de déplacer la balance. À l’échelle d’un rucher, cela signifie que la disponibilité en pollen devient un paramètre de gestion du risque, au même titre que la pression de prédation, la période de l’année ou la force des colonies.
Dans un contexte où les ruptures de floraison et les épisodes de sécheresse gagnent en fréquence, ce travail apporte une base expérimentale solide à une observation de terrain : la disette ne fatigue pas seulement les abeilles, elle peut aussi durcir la colonie. Le titre de l’article original, volontairement provocateur, résume bien l’enjeu : une colonie affamée en protéines peut devenir « hangry », et cette transformation est mesurable, reproductible, et directement liée à la gestion des ressources.
Source unique
Walsh EM, Avalos A, Ihle K, Lau P, Simone-Finstrom M, Acosta AA, et al. (2026) Hangry bees: Pollen dearth impacts honey bee (Apis mellifera) behavior and physiology. PLoS One 21(1): e0338712. https://doi.org/10.1371/journal.pone.0338712
Acini : structures glandulaires microscopiques qui composent les glandes hypopharyngiennes des abeilles ouvrières. Leur taille reflète la capacité de l’abeille à produire de la gelée royale pour nourrir les larves, et diminue lorsque les colonies manquent de pollen.
Dans l’étude, Cyp6g1/2, drat, inos et GB53860 sont quatre gènes d’Apis mellifera suivis comme marqueurs biologiques liés à la défensivité. Les chercheurs mesurent leur expression pour voir si une colonie rendue déficitaire en pollen présente aussi une “signature” moléculaire cohérente avec l’augmentation d’agressivité observée au rucher. Les résultats montrent que ces marqueurs ne réagissent pas tous de la même façon : drat ne varie pas significativement, Cyp6g1/2 change surtout selon le contexte de développement des abeilles (effet “réaring”), inos présente un profil dépendant du temps et du traitement, et GB53860 ressort comme le signal le plus solide car son expression chez les butineuses corrèle avec le niveau de défensivité de la colonie. Ensemble, ces quatre gènes confirment que la disette en pollen s’accompagne de modifications internes mesurables, mais avec une réponse complexe, sensible au stade de vie et au contexte.




Super intéressant ! Une piste à explorer sur les prochaines colonies qui deviennent subitement aggressives ! Merci !